Real Estate Math Formulas Cheat Sheet Pdf

Real Estate Math Formulas Cheat Sheet Pdf cheatsheetpdf.netlify.app

cheat calculus formulas derivative mathematics algebra studying kidsworksheetfun

Excel Calculations | How To Calculate Basic Functions In Excel?

Excel Calculations | How to Calculate Basic Functions in Excel? www.educba.com

calculations basic calculation gantt macd

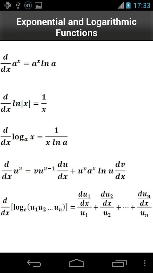
Calculus Formula For Android - APK Download

Calculus Formula for Android - APK Download apkpure.com

calculus formula

19+ How To Do Math Formulas In Excel Latest - Formulas

19+ How To Do Math Formulas In Excel Latest - Formulas formulasexceledu.blogspot.com

formulas

Calculus Formulas - Android Apps On Google Play

Calculus Formulas - Android Apps on Google Play play.google.com

calculus formulas useful

VideoExcel - How To Insert Equations In Excel 2010 - YouTube

VideoExcel - How to insert Equations in Excel 2010 - YouTube www.youtube.com

equations mathematical type keyboard excel insert laptop 2010

How To Write Math Equations In Excel - Tessshebaylo

How To Write Math Equations In Excel - Tessshebaylo www.tessshebaylo.com

function formula mathematical w3resource equations starts

GATE 2014 Materials, Previous Papers, Computer Books, Aptitude, English

GATE 2014 Materials, Previous Papers, Computer Books, Aptitude, English ebooksforgate.blogspot.com

calculus formula aptitude papers gate materials interview computer tips english previous books

Learn Calculus Fast - Raise Grades & Excel In Class

Learn Calculus Fast - Raise Grades & Excel in Class www.mathtutordvd.com

calculus learn step grades raise excel fast class solving problems course master video

Bc Calculus Formula Sheet - Jenwiles

Bc Calculus Formula Sheet - jenwiles jenwiles.blogspot.com

calculus cheat formulas calc physics precal geometry

Calculus formula aptitude papers gate materials interview computer tips english previous books. Calculus formula for android. Bc calculus formula sheet


Post a Comment